低孔渗凝析气藏单井注气吞吐增产技术研究及现场应用 - 2014年全国天然气学术年会.pdf

11 0
2026-1-10 02:37 | 查看全部 阅读模式

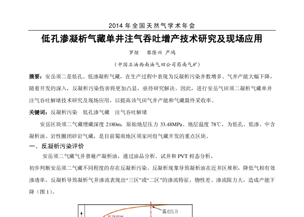
该会议论文介绍了低孔渗凝析气藏单井注气吞吐增产技术的研究与现场应用。文章分析了凝析气藏的开发特点,提出了注气吞吐技术的原理与实施方法,并通过实际案例验证了该技术的有效性,为类似气藏的开发提供了重要参考。

文档为pdf格式,1.12MB,总共7页。

低孔渗凝析气藏单井注气吞吐增产技术研究及现场应用 - 2014年全国天然气学术年会
文件大小:
1.12 MB
高速下载
2026 资料下载 联系邮件:1991591830#qq.com 浙ICP备2024084428号-1