我国城市化回顾与展望--从粗放城市化走向健康城市化 - 2012中国城市规划年会.pdf

8 0
2025-12-14 17:43 | 查看全部 阅读模式

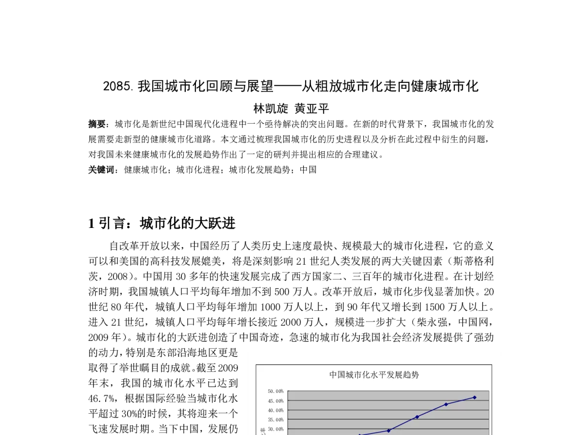
论文《我国城市化回顾与展望--从粗放城市化走向健康城市化》探讨了中国城市化进程中的问题与挑战,分析了粗放式城市化带来的资源浪费和环境压力。文章提出应转向健康、可持续的城市化模式,强调以人为本、优化空间布局和提升城市功能。通过对过去城市化经验的总结,为未来城市发展提供了理论支持和政策建议。

文档为pdf格式,0.41MB,总共8页。
我国城市化回顾与展望--从粗放城市化走向健康城市化 - 2012中国城市规划年会
2025-12-14 17:44 上传
文件大小:
419.84 KB
下载次数:
60
我国城市化回顾与展望--从粗放城市化走向健康城市化 - 2012中国城市规划年会.pdf ...
高速下载
【温馨提示】 您好!以下是下载说明,请您仔细阅读:
1、推荐使用360安全浏览器访问本站,选择您所需的PDF文档,点击页面下方“下载”按钮。
2、耐心等待两秒钟,系统将自动开始下载,本站文件均为高速下载。
3、下载完成后,请查看您浏览器的下载文件夹,找到对应的PDF文件。
4、使用PDF阅读器打开文档,开始阅读学习。
5、使用过程中遇到问题,请联系QQ客服。

本站提供的所有PDF文档、软件、资料等均为网友上传或网络收集,仅供学习和研究使用,不得用于任何商业用途。
本站尊重知识产权,若本站内容侵犯了您的权益,请及时通知我们,我们将尽快予以删除。
  • 手机访问
    微信扫一扫
  • 联系QQ客服
    QQ扫一扫
2022-2025 新资汇 - 参考资料免费下载网站 浙ICP备2024084428号-1
关灯 返回顶部
快速回复 返回顶部 返回列表